============================================================
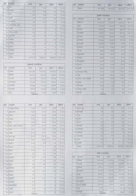
जनगणना २०७८ मा कोशी प्रदेशको भाषिक तथ्याङ्क
===========================================================
जनगणना २०६८ को तुलनामा २०७८ मा कोशी प्रदेशमा घट्दो क्रममा रहेका भाषाहरू
=================================================================
कोशी प्रदेशमा नेपाली भाषा बाहेक अन्य मातृभाषाका वक्तासंख्या अधिक भएका पालिकाहरूको विवरण


























































No comments:
Post a Comment